水分是影响植物生理功能的重要环境因子之一。水通过植物器官的脉管从植物根部传输到植物地上部分组织,从而确保植物暴露于地上部分持续的蒸发而不至于干枯。然而,植物受到干旱胁迫时会造成水力结构失败(hydraulic failure),从而阻断了植物从土壤中获取水分,造成落叶,寿命缩短,甚至引起整株植物因缺水而死亡,以前的报道主要研究叶片、茎和根的气穴化的脆弱性。
鉴于花作为我们食物来源的重要繁殖器官,被认为是被子植物进化的标志,但关于花的水分的供应与维持知之甚少,在干旱胁迫下花的木质部损伤的脆弱性鲜为人知。
近日,中国科学院昆明植物研究所张石宝研究组和塔斯马尼亚大学Timothy J. Brodribb研究组对花的水分生理进行了研究,采用一种视觉化新技术显示了花的木质部栓塞的时空变化。
研究结果表明,在干旱胁迫下,木本植物的花瓣栓塞化早于叶片,而在草本植物中,花瓣死亡时间和叶片相似。研究结果可以预测因干旱引起植物死亡提供基本数据,并具有现实意义,同时能够识别生态敏感植物的威胁,并且可以作为选育抗旱品种的重要筛选工具。
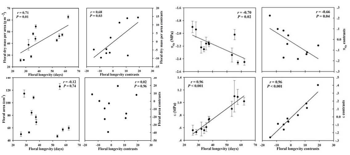
另外,张石宝研究组对11种兜兰进行了花的水分关系研究,发现花寿命与比花重,膨压丧失点,和细胞壁弹性模数成显著正相关,但与花的大小没有相关性。并且发现花和叶片的经济性状独立进化。因此,研究结果显示花寿命和花的水分维持能力之间存在一个明确的权衡关系,这些经济上的限制也表明延长兜兰花寿命存在一个高的生理成本。该结果有助于名贵花卉兜兰的保护和栽培策略的制定。
以上研究结果以《Are flowers vulnerable to xylem cavitation during drought?》为题发表在Proceedings of the Royal Society B.文章链接 和《Floral mass per area and water maintenance traits are correlated with floral longevity in Paphiopedilum (Orchidaceae)》为题发表在Frontiers in Plant Science 文章链接
该研究得到了国家自然科学基金项目资助。

图1. 叶片和花瓣栓塞化的时空变化

图2. 花寿命与花比重,花面积,膨压丧失点和细胞壁弹性模数之间的关系